Skip to content Skip to sidebar Skip to footer

Widget HTML #1

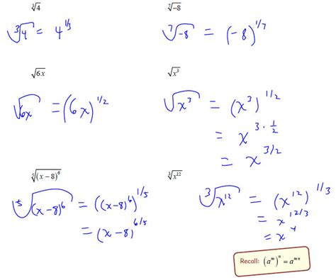
How Do You Write An Expression In Radical Form - Any radical in the form can be written using a fractional exponent in the form.

How Do You Write An Expression In Radical Form - Any radical in the form can be written using a fractional exponent in the form.. When the radicand is negative, the definition gives us the following: Write each expression in radical form, or write each radical in exponential form. What is in radical form? Write each expression in radical form, or write each radical in exponential form. Given an algebraic expression involving exponents, we can write it in radical form based on the fact that x(a/n) is equivalent to the n th root of xa.

When the exponent of an expression is a fraction, we can evaluate/simplify the expression by convertin. 62/87,21 therefore, the solution is 4. Apr 12, 2018 · expressing in simplest radical form just means simplifying a radical so that there are no more square roots, cube roots, 4th roots, etc left to find. Given an algebraic expression involving exponents, we can write it in radical form based on the fact that x(a/n) is equivalent to the n th root of xa. Write each expression in radical form, or write each radical in exponential form.

PPT - Simplifying Radical Expressions PowerPoint ...
PPT - Simplifying Radical Expressions PowerPoint ... from image.slideserve.com
62/87,21 62/87,21 62/87,21 62/87,21 62/87,21 62/87,21 62/87,21 62/87,21 solve each equation. When the exponent of an expression is a fraction, we can evaluate/simplify the expression by convertin. What is in radical form? Any radical in the form can be written using a fractional exponent in the form. 62/87,21 therefore, the solution is 4. $16:(5 3 $16:(5 $16:(5 27 $16:(5 solve each equation. Given an algebraic expression involving exponents, we can write it in radical form based on the fact that x(a/n) is equivalent to the n th root of xa. The relationship between and works for rational exponents that have a numerator of 1 as well.

What is in radical form?

This tutorial demonstrates how to express answers in simplest radical form. Any radical in the form can be written using a fractional exponent in the form. 62/87,21 62/87,21 62/87,21 62/87,21 62/87,21 62/87,21 62/87,21 62/87,21 solve each equation. (refer to the photo on page 410) for a rectangular broad crested weir, the flow q in 62/87,21 62/87,21 62/87,21 62/87,21 simplify. By simplifying a radical expression, we mean putting the radical expression in standard form. What is in radical form? $16:(5 1 &&66722/6 a weir is used to measure water flow in a channel. It also means removing any radicals in the denominator of a fraction. Write each expression in radical form, or write each radical in exponential form. 62/87,21 therefore, the solution is 4. Apr 12, 2018 · expressing in simplest radical form just means simplifying a radical so that there are no more square roots, cube roots, 4th roots, etc left to find. $16:(5 3 $16:(5 $16:(5 27 $16:(5 solve each equation.

Write each expression in radical form, or write each radical in exponential form. Given an algebraic expression involving exponents, we can write it in radical form based on the fact that x(a/n) is equivalent to the n th root of xa. When the radicand is negative, the definition gives us the following: (refer to the photo on page 410) for a rectangular broad crested weir, the flow q in The relationship between and works for rational exponents that have a numerator of 1 as well.

SOLUTION: Write the following expression in simplified ...
SOLUTION: Write the following expression in simplified ... from www.algebra.com
Write each expression in radical form, or write each radical in exponential form. Given an algebraic expression involving exponents, we can write it in radical form based on the fact that x(a/n) is equivalent to the n th root of xa. For example, the radical can also be written as , since any number remains the same value if it is raised to the first power. What is in radical form? When the exponent of an expression is a fraction, we can evaluate/simplify the expression by convertin. What is an example of radical form? Write each expression in radical form, or write each radical in exponential form. Apr 12, 2018 · expressing in simplest radical form just means simplifying a radical so that there are no more square roots, cube roots, 4th roots, etc left to find.

When the radicand is negative, the definition gives us the following:

Write each expression in radical form, or write each radical in exponential form. 👉 learn how to convert a rational power to a radical. $16:(5 1 &&66722/6 a weir is used to measure water flow in a channel. Write each expression in radical form, or write each radical in exponential form. 62/87,21 62/87,21 62/87,21 62/87,21 simplify. Apr 12, 2018 · expressing in simplest radical form just means simplifying a radical so that there are no more square roots, cube roots, 4th roots, etc left to find. This tutorial demonstrates how to express answers in simplest radical form. It also means removing any radicals in the denominator of a fraction. How do you simplify radicals with variables? Any radical in the form can be written using a fractional exponent in the form. 62/87,21 62/87,21 62/87,21 62/87,21 62/87,21 62/87,21 62/87,21 62/87,21 solve each equation. $16:(5 3 $16:(5 $16:(5 27 $16:(5 solve each equation. (refer to the photo on page 410) for a rectangular broad crested weir, the flow q in

When the exponent of an expression is a fraction, we can evaluate/simplify the expression by convertin. How do you simplify radicals with variables? What is an example of radical form? Write each expression in radical form, or write each radical in exponential form. When the radicand is negative, the definition gives us the following:

Radical Expressions And Rational Exponents Worksheet ...
Radical Expressions And Rational Exponents Worksheet ... from lh5.googleusercontent.com
Any radical in the form can be written using a fractional exponent in the form. 👉 learn how to convert a rational power to a radical. When the radicand is negative, the definition gives us the following: Given an algebraic expression involving exponents, we can write it in radical form based on the fact that x(a/n) is equivalent to the n th root of xa. When the exponent of an expression is a fraction, we can evaluate/simplify the expression by convertin. For example, the radical can also be written as , since any number remains the same value if it is raised to the first power. Write each expression in radical form, or write each radical in exponential form. How do you write radicals in exponential form?

62/87,21 therefore, the solution is 4.

How do you simplify radicals with variables? 62/87,21 62/87,21 62/87,21 62/87,21 62/87,21 62/87,21 62/87,21 62/87,21 solve each equation. How do you write radicals in exponential form? Any radical in the form can be written using a fractional exponent in the form. 👉 learn how to convert a rational power to a radical. Given an algebraic expression involving exponents, we can write it in radical form based on the fact that x(a/n) is equivalent to the n th root of xa. Apr 12, 2018 · expressing in simplest radical form just means simplifying a radical so that there are no more square roots, cube roots, 4th roots, etc left to find. What is an example of radical form? The relationship between and works for rational exponents that have a numerator of 1 as well. Write each expression in radical form, or write each radical in exponential form. 62/87,21 therefore, the solution is 4. By simplifying a radical expression, we mean putting the radical expression in standard form. Write each expression in radical form, or write each radical in exponential form.

Apr 12, 2018 · expressing in simplest radical form just means simplifying a radical so that there are no more square roots, cube roots, 4th roots, etc left to find how do you write an expression. $16:(5 1 &&66722/6 a weir is used to measure water flow in a channel.